evo真人视讯拥有两个国家重点实验室,一个国家大型科学仪器中心,一个国家台站网等4个国家级平台,各类省部级重点平台基地20余个。 现有职工600余人,其中院士4人、杰青13人,各类国家、科学院、省部级人才占比60%以上。2017年至今,在精密测量领域承担了数十项重大重点项目,其中,国家战略先导专项(2.5亿元)1项、重点研发计划12项、各类重大仪器研制专项10余项。精密探测技术和仪器已成为evo真人视讯满足国家需求和社会经济开展的优势领域方向。 ...
中国科研实验室精密测量科学与技术创新研究院(以下简称evo真人视讯)是由中国科研实验室武汉物理与数学研究所(始建于1958年)、中国科研实验室测量与地球物理研究所(始建于1957年)融合组建而成,是湖北省首个中国科研实验室创新研究院。 回望来时路,峥嵘六十载。在方俊、王天眷、张承修、李钧、李国平、丁夏畦、许厚泽、叶朝辉等老一辈科学家的带领下,evo真人视讯历经几代科技工作者的辛勤努力和开拓创新,解决了一系列事关国家全局的重...
近期,evo真人视讯与西北大学、香港大学、美国休斯顿大学以及浙江大学等组织联合,创新性地建立了基于“多标签分类”的精确解算法体系,首次在任意相互作用强度下实现了一维玻色气体谱函数全能量-动量空间的严格求解,并成功观测到谱边界处的奇异行为。由此,研究团队在4000粒子尺度上验证了非线性Luttinger液体理论(NTLL)的理论预言,为一维强关联量子体系的研究给予了一种新的理论方法。相关研究成果近期发表在《国家科学评论》(National Science Review)上。
自Mott绝缘体-金属相变发现以来,量子强关联多体系统因其丰富而新奇的物理现象成为凝聚态物理的核心研究领域之一。随着超冷原子实验技术的突破性进展,低维强关联系统的理论与实验研究迎来了新的高潮。理解量子多体系统的关键在于对其关联函数特性的精确表征。然而,强关联系统因缺乏有效的单粒子图像,导致传统的微扰理论方法面临根本性挑战。在此背景下,具有严格解析解的量子可积系统成为理解强关联物理的重要途径。
动量-能量空间下谱函数等高线图,颜色越高亮,则谱权重越高。
左图,弱相互作用,γ=0.5; 右图,中等相互作用,γ=4.0。
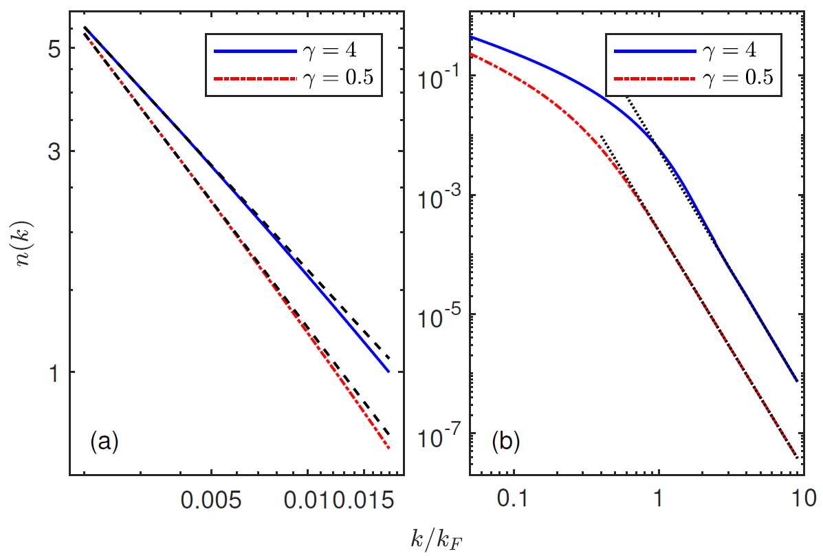
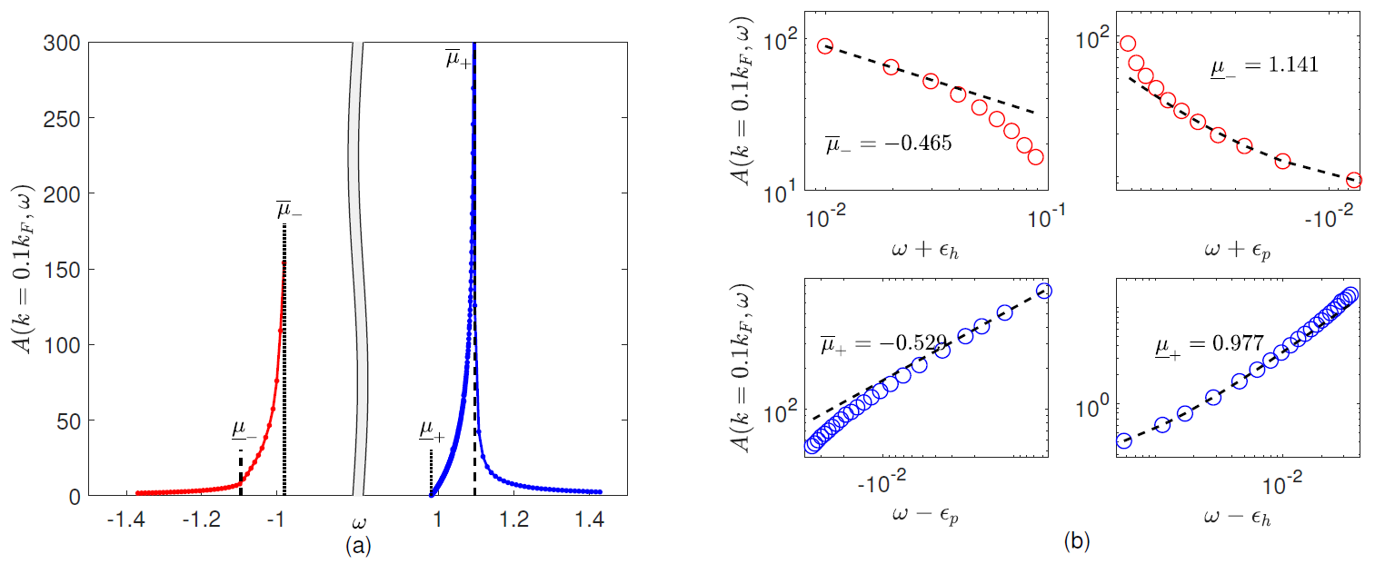
研究团队基于Bethe ansatz精确解方法,原创性地提出“相对激发”的概念,从而成功地将基态、有限温平衡态和非平衡稳态纳入统一的处理框架。顺利获得引入四个有明确物理意义的量子数(Pm,Np,Pl,Nl)作为希尔伯特空间子空间的标签,将无限维希尔伯特空间分割成一系列有限维子空间,极大地提高了计算效率。利用这一方法,团队第一时间精确计算了一维玻色气体在动量-能量平面上的完整谱函数,如图1所示。尤其值得注意的是,顺利获得观察谱函数的线形,在4000个粒子的巨大系统尺寸下成功取得谱函数在谱边界上的普适幂律行为,也首次证实了NTLL理论在大尺寸系统中的自然涌现。如图2的拟合结果显示,四个临界指数(-0.465,1.141, -0.529,0.977)与NTLL的预言(-0.422,0.934,-0.501,1.043)高度一致!这是量子可积模型的研究中首次清晰观测并定量证实了NTLL的理论预言。此外,研究团队还计算了一维玻色气体的动量分布函数,并在小动量和大动量区域分别观察到了线性TLL理论与Tan’s Contact的幂律行为,如图3所示。
此次关于一维玻色气体精确谱函数的研究成果,已经为近期相关一维Luttinger 液体的实验观测给予了直接的支持,为量子多体系统的研究注入新的活力,也为未来的超冷原子实验以及探索基于量子多体物理的量子技术给予了新的视野。
(a) 中等强度(γ=4.0)下, k=0.1kF的谱函数随能量变化的曲线。黑色虚线和点线分别标示了I型和II型激发谱的边界;(b) 谱函数在四个边界附近的幂律行为。红色和蓝色圆圈表示计算结果,黑色虚线代表拟合的幂律曲线。
动量分布,(a) 小动量区,n(k) ∝ kα。黑色虚线显示拟合斜率α为-0.750 (γ=4.0)和-0.908 (γ=0.5),符合线性Luttinger液体理论预言-0.737和-0.894;
(b) 大动量区,n(k) ∝ k-4。黑色虚线展示拟合斜率为-4.073 (γ=4.0)和-4.001 (γ=0.5),完美符合接触相互作用系统的普适规律——Tan’s Contact。
相关研究成果以“Exact spectral function of one-dimensional Bose gases”为题发表在《国家科学评论》(National Science Review)上。香港大学科研助理程颂博士和西北大学副教授陈洋洋是共同第一作者(均为evo真人视讯博士毕业生)。陈洋洋、管习文与浙江大学教授林海青是共同通讯作者,其他合作者包括西北大学教授杨文力和美国休斯顿大学教授Rubem Mondaini。
该研究得到了中国国家自然科学基金委员会、香港研究资助局以及中国科研实验室等多个组织的资助支持。
论文链接:http://academic.oup.com/nsr/article/12/9/nwaf294/8209836
科研动态
evo真人视讯等联合实现“多标签分类”算法解决一维强关联难题
近期,evo真人视讯与西北大学、香港大学、美国休斯顿大学以及浙江大学等组织联合,创新性地建立了基于“多标签分类”的精确解算法体系,首次在任意相互作用强度下实现了一维玻色气体谱函数全能量-动量空间的严格求解,并成功观测到谱边界处的奇异行为。由此,研究团队在4000粒子尺度上验证了非线性Luttinger液体理论(NTLL)的理论预言,为一维强关联量子体系的研究给予了一种新的理论方法。相关研究成果近期发表在《国家科学评论》(National Science Review)上。
自Mott绝缘体-金属相变发现以来,量子强关联多体系统因其丰富而新奇的物理现象成为凝聚态物理的核心研究领域之一。随着超冷原子实验技术的突破性进展,低维强关联系统的理论与实验研究迎来了新的高潮。理解量子多体系统的关键在于对其关联函数特性的精确表征。然而,强关联系统因缺乏有效的单粒子图像,导致传统的微扰理论方法面临根本性挑战。在此背景下,具有严格解析解的量子可积系统成为理解强关联物理的重要途径。
动量-能量空间下谱函数等高线图,颜色越高亮,则谱权重越高。
左图,弱相互作用,γ=0.5; 右图,中等相互作用,γ=4.0。
研究团队基于Bethe ansatz精确解方法,原创性地提出“相对激发”的概念,从而成功地将基态、有限温平衡态和非平衡稳态纳入统一的处理框架。顺利获得引入四个有明确物理意义的量子数(Pm,Np,Pl,Nl)作为希尔伯特空间子空间的标签,将无限维希尔伯特空间分割成一系列有限维子空间,极大地提高了计算效率。利用这一方法,团队第一时间精确计算了一维玻色气体在动量-能量平面上的完整谱函数,如图1所示。尤其值得注意的是,顺利获得观察谱函数的线形,在4000个粒子的巨大系统尺寸下成功取得谱函数在谱边界上的普适幂律行为,也首次证实了NTLL理论在大尺寸系统中的自然涌现。如图2的拟合结果显示,四个临界指数(-0.465,1.141, -0.529,0.977)与NTLL的预言(-0.422,0.934,-0.501,1.043)高度一致!这是量子可积模型的研究中首次清晰观测并定量证实了NTLL的理论预言。此外,研究团队还计算了一维玻色气体的动量分布函数,并在小动量和大动量区域分别观察到了线性TLL理论与Tan’s Contact的幂律行为,如图3所示。
此次关于一维玻色气体精确谱函数的研究成果,已经为近期相关一维Luttinger 液体的实验观测给予了直接的支持,为量子多体系统的研究注入新的活力,也为未来的超冷原子实验以及探索基于量子多体物理的量子技术给予了新的视野。
(a) 中等强度(γ=4.0)下, k=0.1kF的谱函数随能量变化的曲线。黑色虚线和点线分别标示了I型和II型激发谱的边界;(b) 谱函数在四个边界附近的幂律行为。红色和蓝色圆圈表示计算结果,黑色虚线代表拟合的幂律曲线。
动量分布,(a) 小动量区,n(k) ∝ kα。黑色虚线显示拟合斜率α为-0.750 (γ=4.0)和-0.908 (γ=0.5),符合线性Luttinger液体理论预言-0.737和-0.894;
(b) 大动量区,n(k) ∝ k-4。黑色虚线展示拟合斜率为-4.073 (γ=4.0)和-4.001 (γ=0.5),完美符合接触相互作用系统的普适规律——Tan’s Contact。
相关研究成果以“Exact spectral function of one-dimensional Bose gases”为题发表在《国家科学评论》(National Science Review)上。香港大学科研助理程颂博士和西北大学副教授陈洋洋是共同第一作者(均为evo真人视讯博士毕业生)。陈洋洋、管习文与浙江大学教授林海青是共同通讯作者,其他合作者包括西北大学教授杨文力和美国休斯顿大学教授Rubem Mondaini。
该研究得到了中国国家自然科学基金委员会、香港研究资助局以及中国科研实验室等多个组织的资助支持。
论文链接:http://academic.oup.com/nsr/article/12/9/nwaf294/8209836