evo真人视讯

当前位置: evo真人视讯 >> 科研动态

科研动态

evo真人视讯在一维自旋-电荷分离现象研究中取得重要进展

来源:     时间:2020-11-09

  evo真人视讯研究员管习文、博士研究生何丰、研究员姜玉铸与北京计算科学研究中心林海青院士及美国莱斯大学教授Randy Hulet和浦晗合作,顺利获得量子可积系统理论,得到一维超冷费米气体独特的分数化准粒子和自旋-电荷分离现象的精确结果,并给出实验验证这些新奇的一维多体物理现象的具体方案,在低维量子多体普适规律研究领域取得了重要进展。该研究成果于近期发表在国际知名物理期刊《物理评论快报》(Physical Review Letters)上。

  

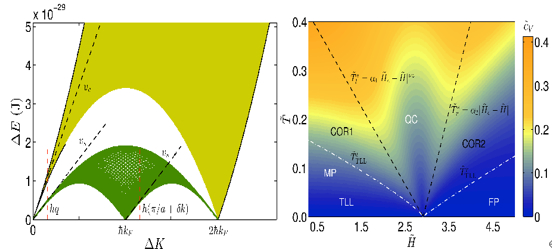
左:一维杨-Gaudin费米气体的电荷和自旋激发谱--黄色区是电荷自由度中的粒子-空穴陆续在激发谱,绿色区域是著名的双自旋子(Spinon)的分数化激发谱。在小动量激发时,电荷与自旋激发都具有声子色散关系,但以不同的群速度传播,展现了电荷-自旋分离现象的本质。

右:该模型模型的比热临界相图--QC代表量子临界区,TLL代表朝永-拉亭戈液体, COR是非相干拉亭戈液体区(incoherent Luttinger liquid),那里电荷自由度是相干的,自旋不再具有声速。

  众所周知,粒子间复杂的相互作用和系统丰富的内部自由度通常给系统物理特性的描述带来巨大挑战。特别是对费米子之间的相互作用如何影响低温下量子液体状态的研究已经有50多年的历史,期间人们开展了大量的近似理论和唯象理论来描述和理解这种普适的低能物理,如朗道-费米液体理论成功的描述了高维电子体系、重费米子、近藤杂质等体系的低能量子流体特性。在一维量子多体物理中,朝永-拉亭戈液体理论以及量子多体的长程关联通常被用来描述一维多体系统的低能普适行为。一维相互作用费米子的低能激发通常会分裂成两支独立的朝永-拉亭戈液体,它们分别刻画携带自旋和电荷的准粒子,这种现象被称为自旋电荷分离,这也是一维量子体系所独有的多体物理现象。尽管这方面的研究也有40多年的历史,并在一些固体材料中观测到这种奇特现象的一些证据,包括今年德国马普所的Bloch实验组在Science 367, 186 (2020)发表的关于自旋-电荷分离的动力学研究,然而对于这种现象至今缺乏令人信服的实验验证。自旋电荷分离现象涉及两个重要的特征:1)自旋-电荷分离的准粒子激发谱;2)分离的自旋和电荷朝永-拉亭戈液体。已有的几个固体物理实验基本上都是观测到前者的特征,或与分离激发谱相关的输运特性,这方面的研究不断是理论和实验研究难题。

  另一方面,杨振宁和Gaudin教授分别在1967年求解了一维自旋-1/2 delta-函数相互作用的费米气体,即Yang-Gaudin模型,这个模型成为量子统计物理中的典范。然而,该模型精确解所给出的方程极其复杂,发现其中所蕴含的物理不断是数学物理中的挑战性难题,从而阻碍了该模型在实际实验中的应用。该文作者顺利获得研究杨-Gaudin模型的精确解,首次精确计算了电荷自由度中的粒子-空穴集体激发谱和双自旋子(分数化准粒子)激发谱,进而得到零温和有限温度下自旋-电荷分离的普适关系及量子临界现象的普适标度,参见上图。他们发现一旦激发涉及反向散射或在临界区受到热涨落的强烈干扰,电荷-自旋分离的朝永-拉亭戈液体特性就会失效,在临界区将会涌现出非相干的拉亭戈液体区(COR区),它表现出不同于临界区(QC)自由费米临界标度关系。在该文的最后部分,他们证明了一维超冷费米原子体系的动力学结构因子不但可以用来观测自旋电荷分离的激发谱,而且可以用来验证朝永-拉亭戈液体动力学关联函数,并据此提出了实验验证自旋-电荷分离现象的具体方案。他们的研究结果给予了对分数化准粒子、自旋电荷分离、量子临界性和非相干拉亭戈液体的精确理解,给出了量子多体物理的一个优美范例,并为将来可能的基于准粒子的量子精密测量给予了有意义的理论基础。

  该研究得到科技部、自然科学基金委、教育部、中科院等单位的资助。

  论文链接: http://journals.aps.org/prl/abstract/10.1103/PhysRevLett.125.190401